4.3 飛行原理と飛行性能【教則学習(第4版)】
2025年6月2日
2025年6月3日
4. 無人航空機のシステム 4.3 飛行原理と飛行性能
教則の本文を黒色に、独自に追記した補足説明や注釈を別色で記載しています。
4.3.1 無人航空機の飛行原理
無人航空機が飛行するためには、重力に対抗する上向きの力を必要とする。飛行機では主翼に発生する揚力で重力に対抗する。一方、飛行機には飛行速度と逆向きに空気抵抗である抗力が働くが、それに抗するために回転翼であるプロペラ等による推力が必要である。一方、回転翼航空機(ヘリコプター)及び回転翼航空機(マルチローター)においては、重力に対抗する上向きの力はプロペラ(ローター)による推力によって生み出される。機体が運動すると、機体には飛行機と同様に抗力も作用するが、推力の大きさを重力以上にし、機体姿勢を変化させてこれに抗する。これら機体に働く力が釣り合ったとき、機体は速度と姿勢を一定とする定常飛行(釣り合い飛行)を行う。
飛行中の航空機に流入する空気の機体に対する角度を迎角と横滑り角で表す。機体の前後・上下を含む面に空気流入の向きを投影したときに、前後軸とのなす角を迎角という。下方から空気が流入するときに迎角は正である。また、機体の前後・上下を含む面と空気流入の向きの面のなす角を横滑り角という。機体右側から空気流入するときに横滑り角は正である。機体に作用する揚力と抗力などの空気力、モーメントは流入空気の速さとともに、迎角、横滑り角で決まる。
航空機の姿勢はピッチ、ロール、ヨーとよばれる角度で表現する。機体の機首を上げ下げする回転がピッチ、機体を左右に傾ける回転がロール、機体を上から見たときの機首の左右の回転がヨーである。
水平状態からのそれぞれの角度をピッチ角、ロール角(バンク角)、ヨー角(方位角)とよび、それらの角速度をピッチ角速度(ピッチング)、ロール角速度(ローリング)、ヨー角速度(ヨーイング)とよぶ。
一般に、飛行機はプロペラによる推力によって速さを制御し、また、ピッチ、ロール、ヨーの姿勢を変化させることで飛行速度の向きを制御する。基本的に、ピッチを変化させるための舵が水平尾翼にあるエレベーター(昇降舵)、ロールを変化させるための舵が主翼にあるエルロン(補助翼)、ヨーを変化させる舵が垂直尾翼にあるラダー(方向舵)である。
航空機の姿勢はピッチ、ロール、ヨーとよばれる角度で表現する。機体の機首を上げ下げする回転がピッチ、機体を左右に傾ける回転がロール、機体を上から見たときの機首の左右の回転がヨーである。
水平状態からのそれぞれの角度をピッチ角、ロール角(バンク角)、ヨー角(方位角)とよび、それらの角速度をピッチ角速度(ピッチング)、ロール角速度(ローリング)、ヨー角速度(ヨーイング)とよぶ。
一般に、飛行機はプロペラによる推力によって速さを制御し、また、ピッチ、ロール、ヨーの姿勢を変化させることで飛行速度の向きを制御する。基本的に、ピッチを変化させるための舵が水平尾翼にあるエレベーター(昇降舵)、ロールを変化させるための舵が主翼にあるエルロン(補助翼)、ヨーを変化させる舵が垂直尾翼にあるラダー(方向舵)である。
4.3.2 揚力発生の特徴
流れる空気の中に翼のような流線形をした物体が置かれると物体には空気力が作用するが、流れと垂直方向に作用する力を揚力、流れの方向に働く力を抗力とよぶ。翼の前縁と後縁を結ぶ翼弦と流れのなす角を迎角といい、空気が下方から流入する時に迎角は正である。一般に迎角が増すと揚力、抗力ともに増加する。翼の断面形状が上面の湾曲が下面より大きな翼型は、効率よく揚力を発生できるので翼型やローター断面に利用される。しかしながら、あまり大きな迎角にすると、流れは翼の表面から剥離し、揚力は減じ、抗力が増大し、失速を招く。飛行中の飛行機が失速状態に陥ると、機体は急降下を始める。
プロペラは、2枚以上のブレードとよばれる翼が回転して推力を発生する。プロペラの回転にはトルクが必要であり、プロペラを回転させる原動機には反トルクが作用する。
回転翼航空機(マルチローター)はプロペラからの反トルクを相殺するために、偶数個のプロペラを半数ずつ異なる向きに回転させるのが一般である。各プロペラの回転数を変化させ、推力とトルクを変化させてピッチ、ロール、ヨーの運動を行う。一方、一般的に、回転翼航空機(ヘリコプター)はメインローターの反トルクをテールローターで相殺する。メインローターは 1 回転する間にブレードのピッチ角を周期的に変化させる可変ピッチ機構を持ち、これによって機体のピッチ、ロールの姿勢制御を行い、テールローターの推力を変化させてヨーの姿勢制御を行う。
一つ前の章で説明した通りですので、
「4.2 無人航空機の機体の特徴(飛行方法別)【教則学習(第4版)】
」を参考にしてください。
回転翼航空機(マルチローター)はプロペラからの反トルクを相殺するために、偶数個のプロペラを半数ずつ異なる向きに回転させるのが一般である。各プロペラの回転数を変化させ、推力とトルクを変化させてピッチ、ロール、ヨーの運動を行う。一方、一般的に、回転翼航空機(ヘリコプター)はメインローターの反トルクをテールローターで相殺する。メインローターは 1 回転する間にブレードのピッチ角を周期的に変化させる可変ピッチ機構を持ち、これによって機体のピッチ、ロールの姿勢制御を行い、テールローターの推力を変化させてヨーの姿勢制御を行う。
一つ前の章で説明した通りですので、
「4.2 無人航空機の機体の特徴(飛行方法別)【教則学習(第4版)】
前章の説明を見た後で、上記説明を読むと、ほぼ理解できると思います。
シングルローターヘリ(一般的なヘリコプター)では、一つのロータの軸に複数枚のブレードと呼ばれる羽(2枚や4枚が一般的)を回転させることで、揚力、推進力を得ます。推進力は、ブレードの傾きと機体の傾きによって、揚力の合成された推進力を得ることができます。具体的に、垂直に上昇後、ホバリングした状態から前進する場合、上向きに使っていた揚力の一部を、ローターの回転面を前方に傾けることで、推力となり前進することができます。また、このとき揚力を変化させる(増・減)ことで、前進しながら上昇したり、降下することができます。
シングルローターヘリ(一般的なヘリコプター)では、一つのロータの軸に複数枚のブレードと呼ばれる羽(2枚や4枚が一般的)を回転させることで、揚力、推進力を得ます。推進力は、ブレードの傾きと機体の傾きによって、揚力の合成された推進力を得ることができます。具体的に、垂直に上昇後、ホバリングした状態から前進する場合、上向きに使っていた揚力の一部を、ローターの回転面を前方に傾けることで、推力となり前進することができます。また、このとき揚力を変化させる(増・減)ことで、前進しながら上昇したり、降下することができます。
「可変ピッチ機構を持ち、これによって機体のピッチ、ロールの姿勢制御を行い、テールローターの推力を変化させてヨーの姿勢制御を行う。」とは
コレクティブピッチ
メインローターまたはテールローターのブレードの迎角を同時に変化させることにより、上下方向のまたは左右方向の揚力を同時変化させる事を言います。これにより、上下方向や左右方向の操縦を行う事ができ、メインローターではコレクティブピッチ・レバーでこの制御を行い、テールローターでは操縦席足元の左右にあるアンチトルク・ペダルでヨー方向の制御を行います。
サイクリックピッチ
周期的にメインローターのブレードの迎角を変化させる事により、ロータの回転面の揚力の方向を変える事を言う。コレクティブピッチが同時に迎え角を変化させるのに対し、回転のある一点で迎え角を変化させます。こうする事によって、回転面を任意の方向に傾け、操作方向へ移動する事ができます。また、速度が増すに従い、揚力の左右不均衡が生じるのでこれを打ち消すために、回転のある一点で周期的に迎え角を変化させ、この不均衡を解消させています。操縦桿(サイクリック・ピッチ・スティック)でこの制御を行います。
可変ピッチ機構
メインローターは 1 回転する間にブレードのピッチ角を周期的に変化させます。
可変ピッチ機構
メインローターは 1 回転する間にブレードのピッチ角を周期的に変化させます。
ヘリコプターのローターは、飛行方向に対してほぼ平行に取り付けられていますが、完全に平行ではなく、実際には、数度前方に傾いています。したがって、機体が前進方向に進むと、ローターの前進側(進行方向に向かう回転領域)で、回転速度と飛行速度が重畳されブレードが感じる速度が大きくなります。逆に、後退側方向(進行方向と逆に向かう回転領域)では、回転速度と飛行速度が相殺された形となり、ブレードが感じる速度が小さくなります。この速度のアンバランスは、ローターに発生する力のアンバランスと直接関係しています。即ち、通常ロータが受け持つ自重(重力)(Weight)と釣り合うための上方の力(Thrust)と前進方向に進むために機体全体に係る抗力(Drag)と釣り合う力がバランスして初めて安定して前進飛行ができますが、飛行速度が増せば増すほど、この状態からのバランスがずれてしまいます。
可変ピッチ機構を用いることにより、ブレードのピッチ角を変化させ、アンバランスを解消させるように工夫されています。
ブレードのピッチ角を変化させるのは、ブレードの付け根の所にあるピッチ・ロッドの稼働によります。このロッドが上下に動くことでブレードのピッチ角を決定します。このピッチ・ロッドは、軸の周りを回るスワッシュプレートと連結しており、スワッシュプレートが0度(ブレードが真後ろ)のときピッチ角と、90度(ブレードが進行方向と一致)のときピッチ角を、傾けて変化させることができれば、ブレードが1回転する間にバランスの取れるピッチ角を実現することができます。
ヘリコプターは、コレクティブ・ピッチ角で上下の釣り合いをとりながら、サイクリック・ピッチ角で前後左右の傾きを、またテイル・ローターを使って、機体が回転するのを制御しバランスをとっています。このように、機構的に1回転中のブレードのピッチ角を制御する機構を可変ピッチ機構と呼びます。
マルチコプターとの大きな違いは、揚力をコントロールするのがローターの回転数(回転量)ではないという事です。すなわち、ヘリコプターのロータの回転は決まったほぼ一定の回転数という事です。
4.3.3 無人航空機の飛行性能〔一等〕
カテゴリーⅢ飛行を行うにあたっては、無人航空機の飛行性能(離陸性能、上昇性能、加速性能、巡行性能、旋回性能、降下性能、着陸性能等)及びこれに影響を与える要因(機体重量、飛行速度、空気密度や風などの大気状態等)について理解することが必要となる。
4.3.4 無人航空機へのペイロード搭載
無人航空機には、ペイロードを搭載できない機体を除き、機体ごとに安全に飛行できるペイロードの最大積載量が定められている。ただし、ペイロードの最大積載量とペイロード搭載時の飛行性能は飛行高度、大気状態によっても異なり、また飛行機の場合は離着陸エリアの広さによっても異なる。機体重量が変化すると航空機の飛行特性(安定性、飛行性能、運動性能)は変化するため注意が必要である。機体の重心位置の変化は飛行特性に大きな影響を及ぼすため、ペイロードの有無によって機体の重心位置が著しく変化しないようにしなければならない。
4.3.5 飛行性能の基本的な計算〔一等〕
カテゴリーⅢ飛行を行うにあたっては、無人航空機の飛行性能に関わる以下のような基本的な計算(機体重量、揚力、推力、空気密度、飛行速度、高度、回転翼の回転角速度の関係等)について理解しておく必要がある。
(1) 飛行機の揚力・回転翼航空機の推力
飛行機の水平定常飛行においては、機体重量𝑊 、揚力𝐿 、空気密度𝜌、飛行速度𝑉 の間に以下の関係がある。
𝑊 = 𝐿 ∝ 𝜌𝑉2
∝は「プロポーショナル」とよばれ「比例」を表します。
「水平定常飛行において」と条件のあるように、機体重量𝑊(地球から引っ張られる力[重力])と揚力𝐿(機体を持ち上げる力)が釣り合っている(=)という条件であることを式の中で表しています。これらの力が、空気密度𝜌 × (飛行速度𝑉 の2乗)に比例する。ことを表しています。
プロペラなどの回転翼の推力𝑇 は、空気密度𝜌、回転角速度𝜔の間に以下の関係がある。
𝑇 ∝ 𝜌𝜔2
回転翼の推力𝑇は空気密度𝜌 × (回転角速度𝜔 の2乗)に比例する。ことを表しています。
回転翼航空機(ヘリコプター)及び回転翼航空機(マルチローター)のホバリング時には、機体重量𝑊 と推力𝑇 の間に以下の関係がある。
回転翼航空機(ヘリコプター)及び回転翼航空機(マルチローター)のホバリング時には、機体重量𝑊 と推力𝑇 の間に以下の関係がある。
𝑊 = 𝑇
回転翼航空機のホバリング時は機体重量𝑊 = 推力𝑇 改めて言うほどの事ではないのですが、飛行機の水平定常飛行と同様の考え方で、機体重量𝑊(地球から引っ張られる力[重力])と推力𝑇(機体を持ち上げる力)が釣り合っている(=)ということを表しています。
また、回転翼の消費パワー(仕事率)𝑃 は、空気密度𝜌、回転角速度𝜔、推力𝑇 の間に以下の関係がある。
𝑃 ∝ 𝜌𝜔3 ∝ 𝑇𝜔
回転翼の消費パワー(仕事率)𝑃 は 空気密度𝜌 × (回転角速度𝜔 の3乗)に比例し、推力𝑇 × 回転角速度𝜔に比例する。
これらの式が表しているのは、「空気密度」大きくなったり、小さくなったり変化すると、それに伴い、「飛行機の揚力𝐿」「回転翼機の推力𝑇」「回転翼の消費パワー(仕事率)𝑃」の大きくなったり、小さくなったり変化するという事です。
空気密度は高度が上がれば、小さくなりますので、「飛行機の揚力𝐿」など、先ほどの式で表されている力たちも、小さく(弱く)なるという事を示しています。
これらの式が表しているのは、「空気密度」大きくなったり、小さくなったり変化すると、それに伴い、「飛行機の揚力𝐿」「回転翼機の推力𝑇」「回転翼の消費パワー(仕事率)𝑃」の大きくなったり、小さくなったり変化するという事です。
空気密度は高度が上がれば、小さくなりますので、「飛行機の揚力𝐿」など、先ほどの式で表されている力たちも、小さく(弱く)なるという事を示しています。
大気には標準大気が定められており、空気密度は高度に対して以下の表のように変化する。高度が1000m増加すると、空気密度は約0.9倍になる。
| 高度 [m] | 空気密度 [kg/m3] | 高度 0m との比 |
| 0 | 1.2250 | 1.00000 |
| 500 | 1.1673 | 0.95287 |
| 1000 | 1.1116 | 0.90746 |
| 1500 | 1.0581 | 0.86373 |
| 2000 | 1.0065 | 0.82162 |
| 2500 | 0.95686 | 0.78111 |
| 3000 | 0.90912 | 0.74214 |
| 3500 | 0.86323 | 0.70468 |
例えば、高度 3000mでの空気密度は高度 0m と比べると、0.74 倍になる。そのため、飛行機が同じ飛行速度で飛行するならば揚力は0.74倍になる。そこで√1/0.74 ≒1.16 倍の飛行速度が必要である。回転翼航空機の場合も、同じ回転角速度で発生するプロペラの推力は0.74倍になり、同じ機体重量の回転翼航空機を飛行させるためには√1/0.74≒1.16 倍のプロペラの回転角速度が必要であり、そのために必要な消費パワーは0.74×√(1/0.74)3≒1.16 倍になる。
ペイロードが搭載されるなどして飛行機の機体重量が 2 倍になると、2 倍の揚力が必要となり、高度などの他の条件が同じであれば、√2 ≒1.4 倍の機体速度が必要である。回転翼航空機の場合、機体重量が2倍になると、2倍の推力が必要となり、高度などの条件が同じであれば、√2≒1.4 倍のプロペラ回転角速度が必要で、消費パワーは√23≒2.8倍になる。
飛行機において、機体重量が2倍になると、揚力が2倍必要になり、同じ迎角で飛行するためには√2 ≒1.4 倍の飛行速度が必要になる。飛行中に速度を落としていくと、揚力を得るためには迎角を大きくしなければならない。しかし、迎角が大きくなりすぎると失速する。すなわち、飛行機には最低飛行速度(失速速度)が存在する。飛行速度の増加が必要ということは最低速度もそれに比例して増加することを意味する。すなわち、飛行機の機体重量が2倍になると、最低速度は1.4倍となる。
飛行機において、機体重量が2倍になると、揚力が2倍必要になり、同じ迎角で飛行するためには√2 ≒1.4 倍の飛行速度が必要になる。飛行中に速度を落としていくと、揚力を得るためには迎角を大きくしなければならない。しかし、迎角が大きくなりすぎると失速する。すなわち、飛行機には最低飛行速度(失速速度)が存在する。飛行速度の増加が必要ということは最低速度もそれに比例して増加することを意味する。すなわち、飛行機の機体重量が2倍になると、最低速度は1.4倍となる。
(2) 飛行機の旋回半径
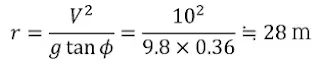
飛行機がバンク角(ロール角)𝜙の定常旋回飛行を行うためには、力のつり合いから、水平定常飛行と比べて1/ 𝑐𝑜𝑠𝜙 倍の揚力が必要であり、飛行速度𝑉 、旋回半径𝑟 、重力加速度𝑔 の間に以下の関係がある。
また、cos 20° ≒ 0.94 であるので、1.06 倍の揚力が必要である。
飛行速度 10m/s、バンク角 20°の場合の旋回半径𝑟 は、28mと、ほとんど同等という事です。
計算問題の解き方解説は
「学科試験(一等)サンプル問題 計算問題の計算方法
答えの出し方を見てみてください。
(3) 飛行機の滑空距離
飛行機の滑空時に飛行経路が水平面となす角を滑空角(降下角)とよぶ。無推力の定常滑空飛行状態での滑空角𝛾は、揚力𝐿 、抗力𝐷 によって以下のように求められる。
ここで、𝐿/𝐷 は揚抗比である。
揚抗比とは 抗力𝐷 に対する揚力𝐿 の強度の比の事で 揚力𝐿を抗力𝐷で割ったものです。
揚抗比とは 抗力𝐷 に対する揚力𝐿 の強度の比の事で 揚力𝐿を抗力𝐷で割ったものです。
揚抗比が大きくなる方がより経済的な飛行をすることができます。
(4) 水平到達距離(水平投射の場合)
高度ℎを飛行する飛行速度𝑣の無人航空機が、揚力を失い落下を始める場合を考える。無人航空機を質点とみなせるものとし、空気抵抗は無視できると仮定すると、落下開始地点から地上に墜落するまでの水平距離𝑥は、
で求めることができる。但し、𝑔は重力加速度である。
この水平到達距離は、イベント会場など多くの第三者周辺に立ち入り禁止エリアを設定するフライトの場合などでの禁止エリアの設定範囲の根拠となるものです。これらのパラメータ(要素)を変化させることによって、必要な高度やフライトエリアの計画をたてていくときに役立ちます。
この水平到達距離は、イベント会場など多くの第三者周辺に立ち入り禁止エリアを設定するフライトの場合などでの禁止エリアの設定範囲の根拠となるものです。これらのパラメータ(要素)を変化させることによって、必要な高度やフライトエリアの計画をたてていくときに役立ちます。





